全球产业链下可再生能源部门隐含碳驱动因素研究 |
| 郭晨雨, 陈聪, 赵书园, 董聪 |
|
Analyzing drivers of embodied carbon in renewable energy sector within global industry chains |
| GUO Chen-Yu, CHEN Cong, ZHAO Shu-Yuan, DONG Cong |
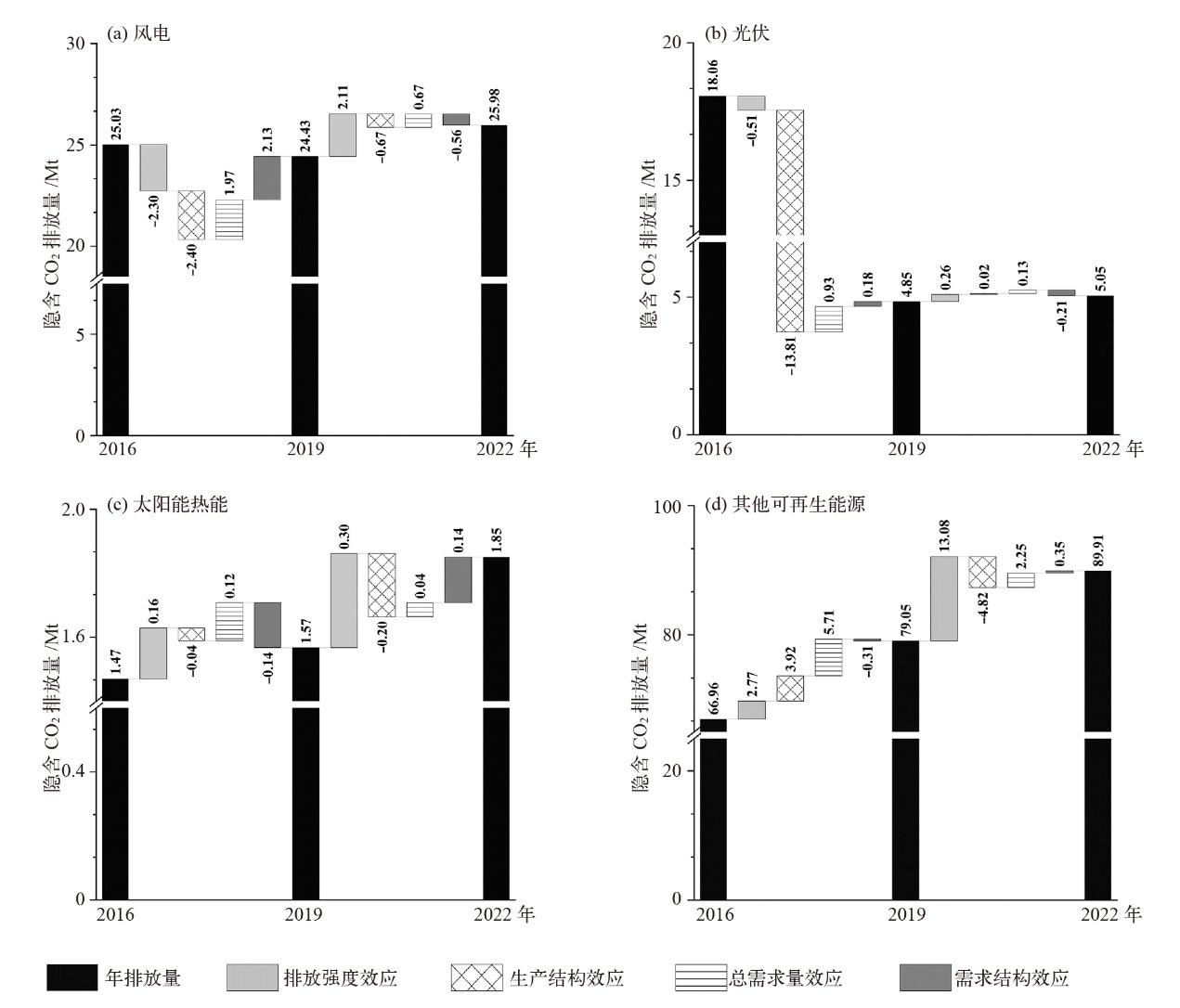
| 图5 不同发电部门四因素分析(a)风电,(b)光伏,(c)太阳能热能,(d)其他可再生能源 |
| Fig. 5 Analysis of four driving factors in different power generation sectors. (a) Wind power, (b) solar photovoltaic, (c) solar thermal, (d) other renewable energy |
|