气候变化多情景下缺水流域跨行业水权交易的水管理效应研究 |
| 韩池, 温洪启, 张书林, 张俊龙, 李伟, 陈明帅, 尤立 |
|
Effectiveness of cross-industry water rights trading on water management in water-deficient basins under multiple climate change scenarios |
| HAN Chi, WEN Hong-Qi, ZHANG Shu-Lin, ZHANG Jun-Long, LI Wei, CHEN Ming-Shuai, YOU Li |
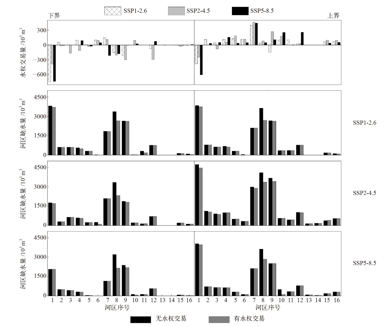
| 图4 不同机制下各河区的缺水量 |
| Fig. 4 Water shortage in each river region under different mechanisms |
|