亚洲中高纬区生态系统对高温热浪暴露度的多模式集合预估 |
| 孙晓玲, 谢文欣, 周波涛 |
|
Ensemble projection of changes in the ecosystem exposure to heatwaves over mid-high latitude Asia |
| SUN Xiao-Ling, XIE Wen-Xin, ZHOU Bo-Tao |
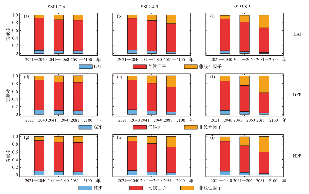
| 图11 三种情景下到21世纪近期、中期和末期时,气候因子、非线性因子和生态因子对亚洲中高纬度区LAI暴露度、GPP暴露度和NPP暴露度变化的贡献 |
| Fig. 11 Contribution of climate factor, nonlinear interaction, and ecological factor to projected changes in LAI exposure, GPP exposure, and NPP exposure averaged over mid-high latitude Asia during 2021-2040, 2041-2060, and 2081-2100 under three scenarios |
|