中国气候变化检测归因研究进展 |
| 孙颖, 王东阡, 张学斌 |
|
Progress in climate change detection and attribution studies in China |
| SUN Ying, WANG Dong-Qian, ZHANG Xue-Bin |
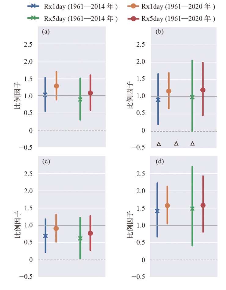
| 图4 中国区域Rx1day和Rx5day单信号ALL的比例因子及其5%~95%置信区间的范围及最佳估计值[ 注:(a、c)图为直接利用极端降水距平进行区域平均计算后得到的比例因子,(b、d)图为将极端降水进行概率拟合转换后再进行平均计算后得到的比例因子。(a、b)图为基于站点数据的结果,(c、d)图为基于格点降水数据集的结果。三角形表示模式模拟的变率太高。 |
| Fig. 4 The best estimates of scaling factors and their 5%-95% confidence intervals of the ALL signal in single-signal analyses for China under different configurations of the analyses[ |
|