中国气候变化检测归因研究进展
孙颖, 王东阡, 张学斌

Progress in climate change detection and attribution studies in China
SUN Ying, WANG Dong-Qian, ZHANG Xue-Bin
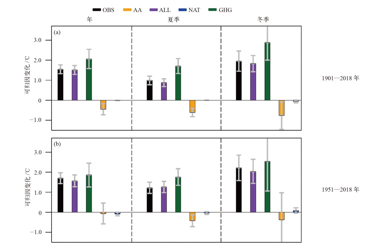
图2 基于百年均一化观测和CMIP6模式资料的中国平均气温变化的检测归因[32] (a) 1901—2018年,(b) 1951—2018年
注:图中显示为观测到的中国年平均气温变化趋势的最优估计(OBS)以及不同因子贡献的最优估计值,包括全强迫(ALL)、温室气体(GHG)、人为气溶胶(AA)和自然强迫(NAT)。图中的误差栏表示5%~95%的置信区间。
Fig. 2 Detection and attribution of mean temperature changes in China based on station observations and CMIP6 model data. The figure shows attributable changes from ALL, GHG, AA, and NAT forcings to observational trend (OBS) in annual, summer (JJA), and winter (DJF) temperature for the 1901-2018 (a) and 1951-2018 (b) periods[32]